Obec Tachty
Tachty 152, 98034
e-mail: obectachty@post.sk
tel.: 047/5689112
mobil na starostu obce:
+421 905 924 655
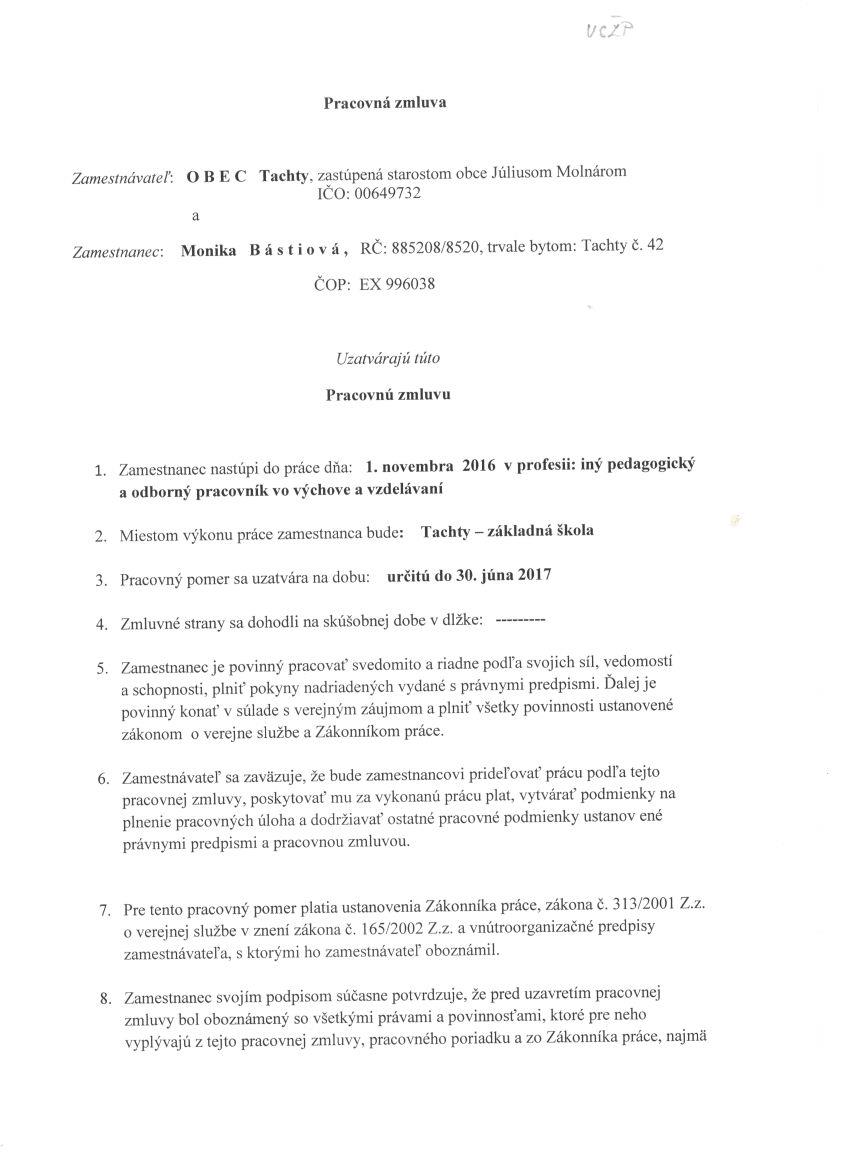
Detail zmluvy Pracovná zmluva
- Číslo zmluvy:
- Pracovná zmluva
- Názov:
- Pracovná zmluva
- Predmet zmluvy:
- Pracovná zmluva
- Cena:
- 405,00 EUR
- 1. Zmluvná strana:
-
- Obec Tachty
- IČO:
- 00649732
- Adresa:
- Tachty 152
- 2. Zmluvná strana:
-
- Monika Bástiová
- Meno podpisujúcej osoby:
- Funkcia podpisujúcej osoby:
- Dátum zverejnenia:
- 11. 11. 2016
- Dátum účinnosti zmluvy:
- 1. 11. 2016
- Platnosť zmluvy do:
- Neuvedené
Úrad
Mobilná aplikácia
Sviatok a výročie
Meniny má Silvester , Horst
Kalendár
| Po | Ut | St | Št | Pia | So | Ne |
|---|---|---|---|---|---|---|
| 1 | 2 | 3 | 4 | 5 | 6 | 7 |
| 8 | 9 | 10 | 11 | 12 | 13 | 14 |
| 15 | 16 | 17 | 18 | 19 | 20 | 21 |
| 22 | 23 | 24 | 25 | 26 | 27 | 28 |
| 29 | 30 | 31 | 1 | 2 | 3 | 4 |
Pranostiky
- Pranostika na akt. mesiac
- Čo v decembri nespravíš, v januári nedohoníš.
- Pranostika na akt.deň
- Keď je na Starý rok jasno, bude v stáloch (maštaliach) prázdno.
Východ a západ slnka
Slnko vychádza:7:28
Slnko zapadá:15:57


